Türkiye
TOKİ, Türkiye Genelinde Ev Sahibi Olma Hayalini Gerçeğe Dönüştürmeye Devam Ediyor! 7 İlde Ucuza Konut Satışı
Yılın sonuna yaklaşırken, Türkiye genelinde ev veya iş yeri sahibi olma arzusu taşıyanlar için Türkiye Konut İmarları (TOKİ), cazip fırsatlar sunmaya hız kesmeden devam ediyor. %25 peşinat ve 120 aya kadar varan vade seçenekleriyle taksitlendirme imkanı sunan TOKİ, 7 farklı ildeki projelerinde geniş daire seçeneklerini uygun fiyatlarla sunuyor. Bu projeler, ev sahibi olma hayali kuran vatandaşlar için vazgeçilmez bir alternatif oluşturuyor. İşte TOKİ’nin bu unutulmaz fırsatlarına dair detaylar…
TOKİ, %25 peşinat ve 120 ay vade seçeneği ile taksitlendirme avantajlarını duyurarak ev sahibi olma imkanı sunuyor. Uygun fiyatlar, geniş daire seçenekleri ve ödeme kolaylıklarıyla TOKİ, Türkiye genelinde konut sahibi olmak isteyenlere çekici fırsatlar sunmaktadır. Projeler, 7 farklı ilde konumlanmış olup her ilde farklı vade ve fiyatlandırma seçenekleri ile dikkat çekmektedir. İşte il il fiyatlar ve başvuru detayları…
Ankara Beypaazarı 2. Etap Projesi: Ankara’da hayatınızı şekillendirebileceğiniz muhteşem bir fırsat. Bu projede ev sahibi olmak isteyenler için %25 peşinatla başlayan ödeme planları ve 120 aya kadar uzanan vade seçenekleri sunulmaktadır. Ankara Beypaazarı 2. Etap Projesi, sizi rüya gibi bir ev sahibi yapabilir. Detaylar ve başvuru şartları için haberimizi takip edin.
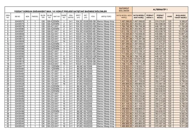
ANKARA BEYPAZARI 2. ETAP PROJESİ





KARAMAN MERKEZ-BÖLÜKYAZI TARIMKÖY PROJESİ

ÇORUM MERKEZ CELİLKIRI

2+1 daireler ve fiyat listesi


3+1 daireler ve fiyat listesi


KIRIKKALE MERKEZ YUVA MAHALLESİ 927 KONUT PROJESİ




YOZGAT ŞEFAATLİ 104/250000 KONUT

ELAZIĞ KEBAN 88 / 250.000 SOSYAL KONUT PROJESİ

AFYONKARAHİSAR SİNANPAŞA 164/250000 SOSYAL KONUT PROJESİ

📍BAŞVURU ŞARTLARI VE DETAYLARINA ULAŞMAK İÇİN TIKLAYIN!
ANKARA HAYMANA 185/100000 KONUT PROJESİ
